• Предмет: Химия
  • Автор: Аня1LoVe
  • Вопрос задан 9 лет назад

Помогите решить пример електролітична дисоціація Al(NO3)3+KOH

Ответы

Ответ дал: AlexHiMiK
0
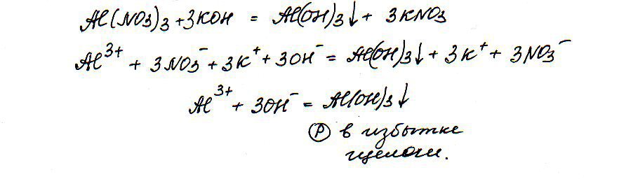
Реакция электролитической диссоциации - реакция ионного обмена. Решение на фотографии. Желаю удачи!
На второй фотографии NaOH + H2SO4
Приложения:
Ответ дал: Аня1LoVe
0
Очень помог
Ответ дал: Аня1LoVe
0
Поможешь с этим? NaOH+H2So4
Ответ дал: AlexHiMiK
0
Минуту
Ответ дал: AlexHiMiK
0
Я в ответ на задание добавил
Ответ дал: Аня1LoVe
0
Спасибо))
Вас заинтересует