Помогите пожалуйста с задачей по геометрии на скалярное произведение. С полным решением и разъяснением :)
Приложения:
Ответы
Ответ дал:
0
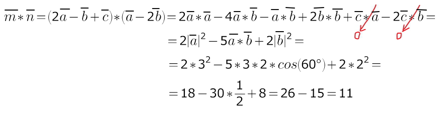
разъяснять особо нечего...
все в учебнике написано))) не переписывать же здесь учебник)))
Скалярное произведение двух векторов = произведению модулей этих векторов, умноженному на косинус угла между ними.
поэтому скалярное произведение двух взаимно перпендикулярных векторов =0 (т.к. cos(90°) = 0)))
Скалярное произведение вектора самого на себя = квадрату его модуля.
остальное --арифметика...
все в учебнике написано))) не переписывать же здесь учебник)))
Скалярное произведение двух векторов = произведению модулей этих векторов, умноженному на косинус угла между ними.
поэтому скалярное произведение двух взаимно перпендикулярных векторов =0 (т.к. cos(90°) = 0)))
Скалярное произведение вектора самого на себя = квадрату его модуля.
остальное --арифметика...
Приложения:
Вас заинтересует
2 года назад
10 лет назад
10 лет назад
10 лет назад