• Предмет: Математика
  • Автор: romanovna2
  • Вопрос задан 9 лет назад

помогите пожалуйста решить

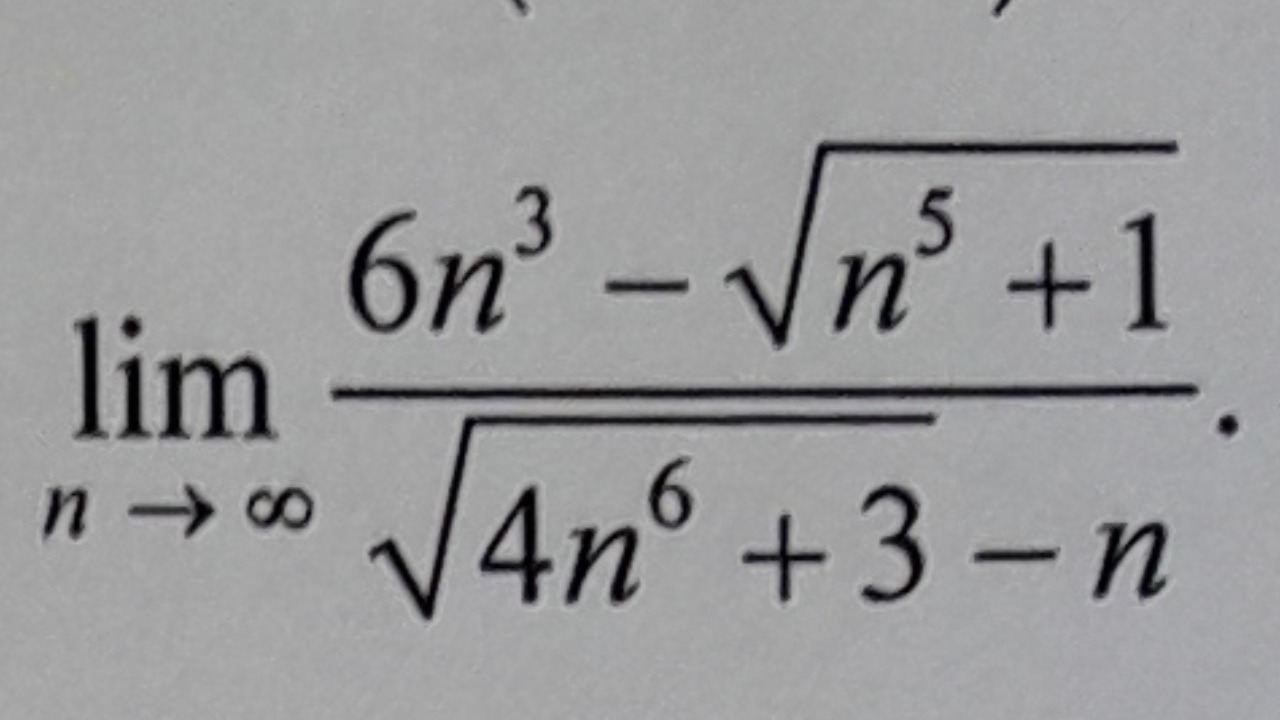
Приложения:

Ответы

Ответ дал: Alexandr130398
0
 lim_{n to infty} frac{6n^3 - sqrt{n^5+1} }{ sqrt{4n^6+3}-n }={ frac{infty-infty}{infty-infty}  }=

Делим каждое слагаемое на старшую степень...
В этом случае, старшая степень n³  или n³=√(n⁶)

=lim_{n to infty} frac{ frac{ 6n^3 }{n^3}-  frac{sqrt{n^5+1}}{ sqrt{n^6}}  }{  frac{ sqrt{4n^6+3}}{ sqrt{n^6}} - frac{ n}{n^6} }= lim_{n to infty} frac{6-  sqrtfrac{{n^5+1}}{ {n^6}}  }{  sqrtfrac{{4n^6+3}}{ {n^6}} - frac{1}{n^5} }=  \  \ =  lim_{n to infty}  frac{6- sqrt{ frac{n^5}{n^6}+ frac{1}{n^6}  } }{ sqrt{ frac{4n^6}{n^6}+  frac{3}{n^6}  } - frac{1}{n^5} } =

=lim_{n to infty}  frac{6- sqrt{ frac{1}{n}+ frac{1}{n^6}  } }{ sqrt{ 4+  frac{3}{n^6}  } - frac{1}{n^5} }  =  frac{6- sqrt{ frac{1}{ infty}+ frac{1}{ infty}  } }{ sqrt{4+ frac{1}{ infty} } - frac{1}{ infty} } = frac{6- sqrt{0+0} }{ sqrt{4+0}-0 } = frac{6}{ sqrt{4} } = frac{6}{2} =3
Вас заинтересует