• Предмет: Алгебра
  • Автор: Sharill
  • Вопрос задан 9 лет назад

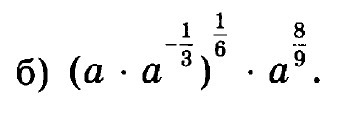
упростите выражение

Приложения:

Ответы

Ответ дал: Valentain200
0
тут не целый пример же
Вас заинтересует