• Предмет: Алгебра
  • Автор: tatka199810
  • Вопрос задан 11 лет назад

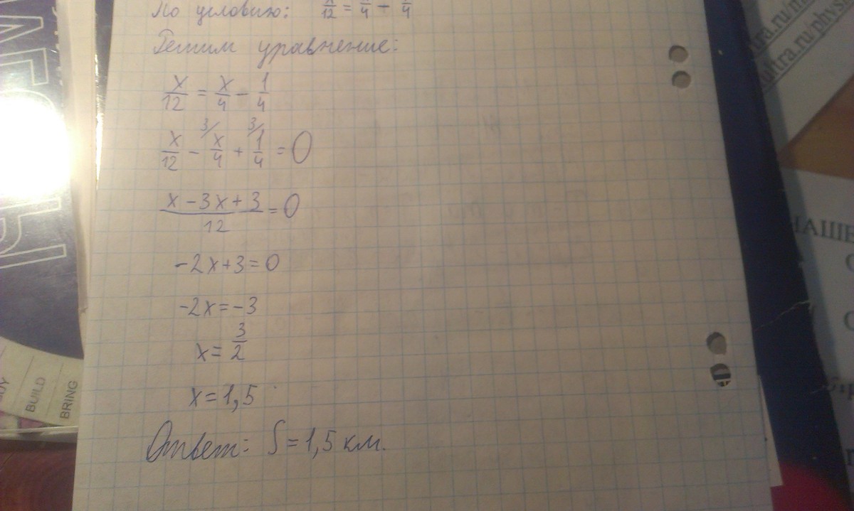
Сергей ходит от дома до стадиона пешком со скоростью 4 км/ч. Однажды он отправился из дома в обычное время, но поехал на велосипеде со скоростью 12 км/ч. На стадион он приехал на 15 мин раньше обычного. Чему равно расстояние от дома до стадиона.

Ответы

Ответ дал: Cavallini08
0

как-то так) будут вопросы пиши)

Приложения:
Вас заинтересует