Ответы
Ответ дал:
0
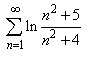
lim (n^2+5)/(n^2+4) при n->∞
(1+5/n^2)/(1+4/n^2) -> 1 при n->∞
ln((n^2+5)/(n^2+4)) -> 0 при n->∞
(1+5/n^2)/(1+4/n^2) -> 1 при n->∞
ln((n^2+5)/(n^2+4)) -> 0 при n->∞
Вас заинтересует
2 года назад
2 года назад
7 лет назад
7 лет назад
10 лет назад
10 лет назад
10 лет назад