• Предмет: Математика
  • Автор: delpzie
  • Вопрос задан 9 лет назад

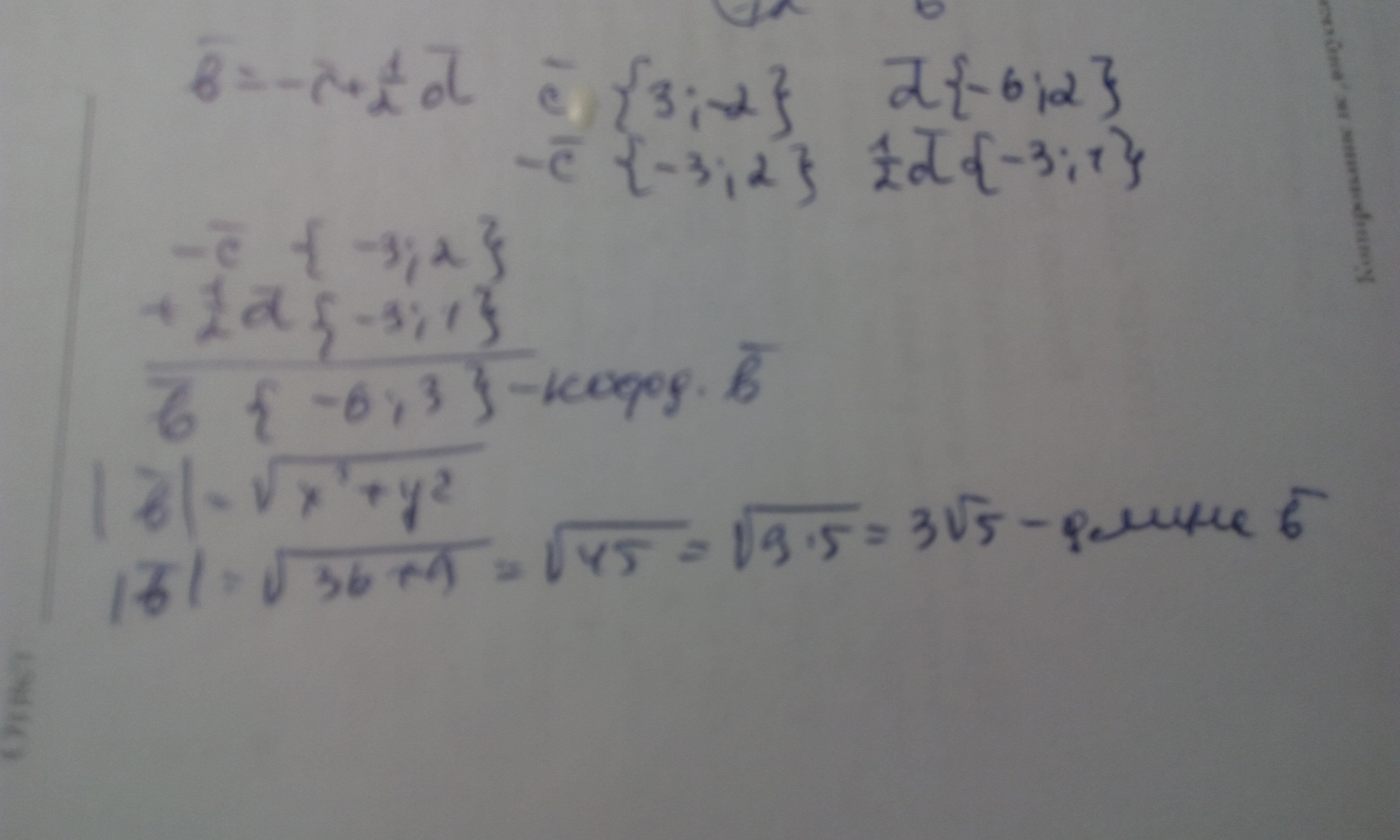
найдите координаты и длину вектора b, если b=-c+1/2d
c {3;-2}, d {-6;2}

Ответы

Ответ дал: irinan2014
0
Решение дано на фото.
Приложения:
Вас заинтересует