• Предмет: Алгебра
  • Автор: daria182
  • Вопрос задан 9 лет назад

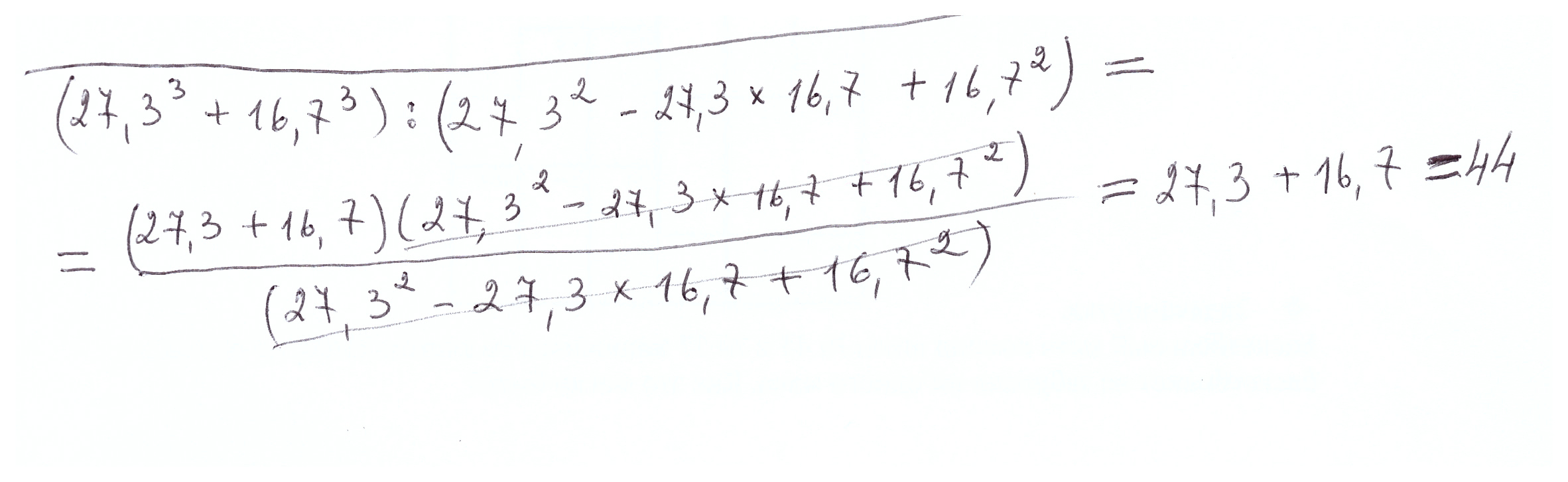
(27,3³ + 16,7³) : (27,3²-27,3*16,7 + 16,7²)
помогите решить, пожалуйста

Ответы

Ответ дал: raisaallukina
0
Решение основывается на формуле "сумма кубов", смотри  решение во вложенном файле.
Приложения:
Вас заинтересует