Ответы
Ответ дал:
0
Ответ дал:
0
Спасибо,а то забыл что с минусом делать.
Ответ дал:
0
Да не за что..))
Ответ дал:
0
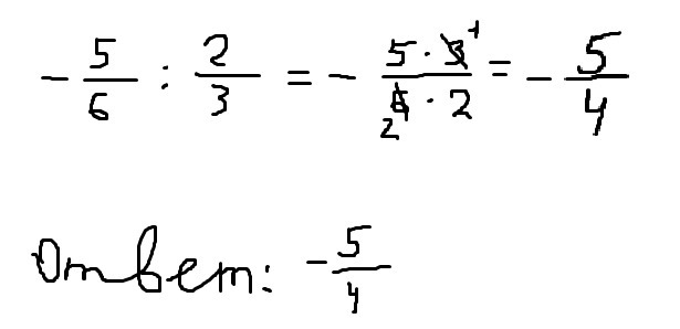
Вот, решение на фото!
Приложения:

Вас заинтересует
2 года назад
7 лет назад
7 лет назад
9 лет назад
9 лет назад