Ответы
Ответ дал:
0
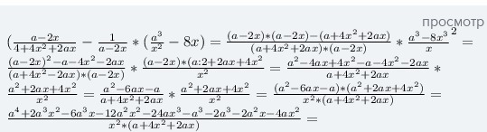
1)=((a-2x)/(a+4x^2+2ax) -1/(a-2x) ) *((a^3-8x^3)/x2)=((a-2x)(a-2x)(a^2+2ax+4x^2)) /((a+4x^2+2ax)x^2) -(a-2x)(a^2+2ax+4x^2)/((a-2x)x^2)=
=((a-2x)^2) /x^2-(a^2+2ax+4x^2)/x^2=(a^2-4ax+4x^2-a^2-2ax-4x^2)/x^2=
(-6ax/x^2=-6a/x
=((a-2x)^2) /x^2-(a^2+2ax+4x^2)/x^2=(a^2-4ax+4x^2-a^2-2ax-4x^2)/x^2=
(-6ax/x^2=-6a/x
Ответ дал:
0
Вот, пожалуйста решение.
Приложения:


Вас заинтересует
2 года назад
2 года назад
9 лет назад
9 лет назад