• Предмет: Химия
  • Автор: Йоукккуккккримп
  • Вопрос задан 9 лет назад

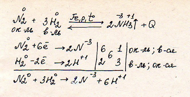
Водород реагирует с веществом формула которого:
А)NaOH
Б)N2
В)H3PO4
Г)CaO
Напишите уравнения возможной реакции . расставте коэффициенты методом электронного баланса укажите окислитель и восстановитель процессы окисления и восстановления

Ответы

Ответ дал: AlexHiMiK
0
Решение задания! Желаю удачи!
Приложения:
Вас заинтересует