• Предмет: Алгебра
  • Автор: qfjfuxjxuxuxrhc
  • Вопрос задан 9 лет назад

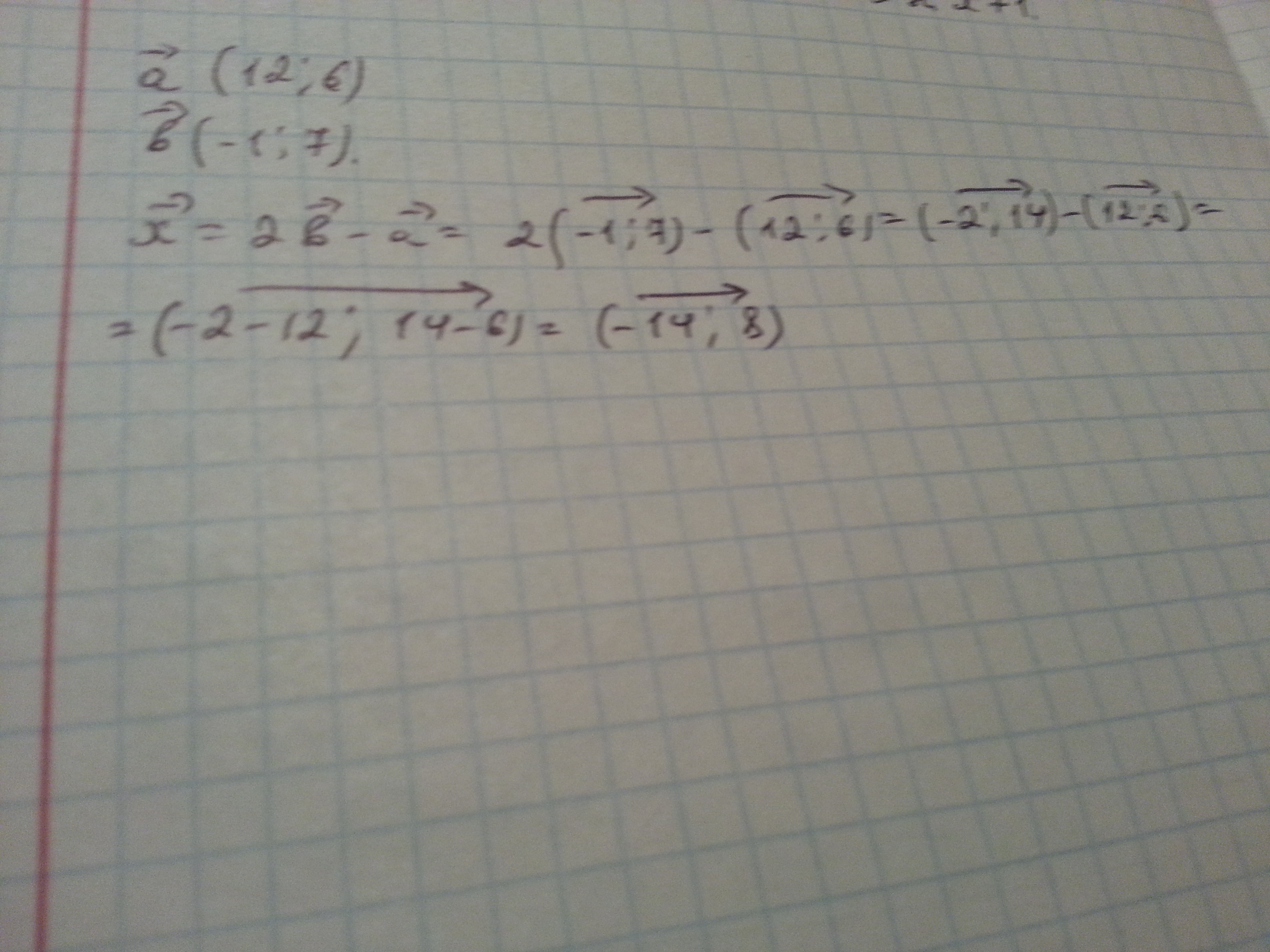
Даны векторы a{12;6}, b{-1;7} Найдите координаты вектора х=2b-a

Ответы

Ответ дал: amin07am
0
Ответ в приложении ♡♤■□●■♡♡♤■□□♤
Приложения:
Вас заинтересует