• Предмет: Математика
  • Автор: kot6apcuk
  • Вопрос задан 9 лет назад

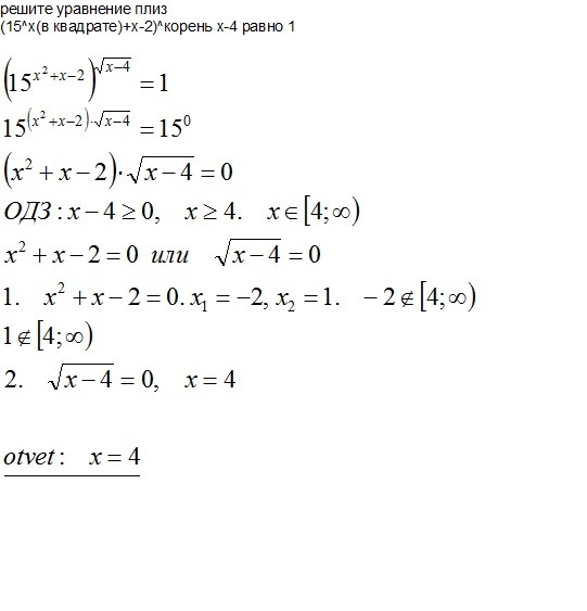
решите уравнение плиз
(15^х(в квадрате)+х-2)^корень х-4 равно 1

Ответы

Ответ дал: kirichekov
0
решение во вложении------------------------------------
Приложения:
Вас заинтересует