• Предмет: Алгебра
  • Автор: zaripovbulat
  • Вопрос задан 9 лет назад

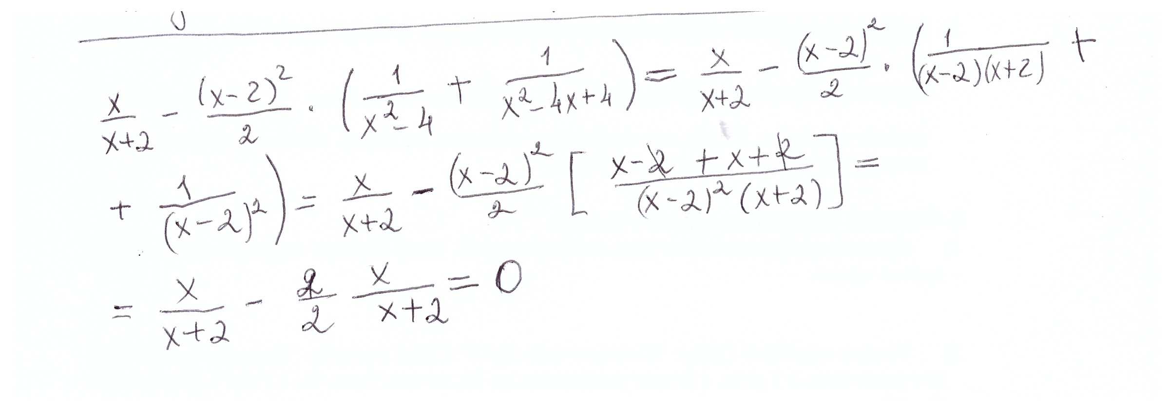
Упростите выражение

Приложения:

Ответы

Ответ дал: raisaallukina
0
Решение во вложенном файле
Приложения:
Вас заинтересует