• Предмет: Математика
  • Автор: nastyaforevor2013
  • Вопрос задан 9 лет назад

Нужно за час все успеть , помогите пожалуйста
Если можно то фото

Приложения:

Ответы

Ответ дал: kirichekov
0
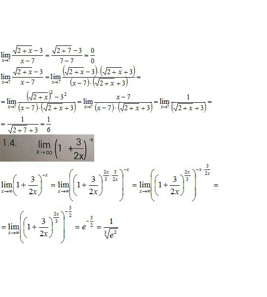
решение во вложении-----------------
Приложения:
Вас заинтересует