• Предмет: Алгебра
  • Автор: Аноним
  • Вопрос задан 9 лет назад

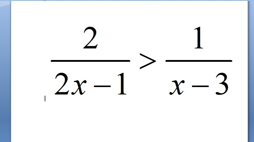
Найдите произведение всех целых решений неравенства

Приложения:

Ответы

Ответ дал: LeraVerber
0
решение смотри на фотографии
Приложения:
Вас заинтересует