• Предмет: Алгебра
  • Автор: fkvasatk
  • Вопрос задан 9 лет назад

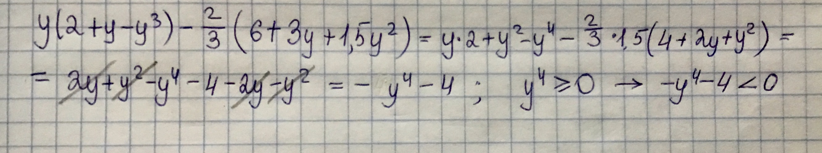
Помогите решить №237

Приложения:

Ответы

Ответ дал: Arch1tect
0
_________________________
Приложения:
Вас заинтересует