ПОМОГИТЕ ПОЖАЛУЙСТА ОЧЕНЬ НАДО. Решите систему уравнение методом подстановки. Полное решение.
Приложения:

Ответы
Ответ дал:
0
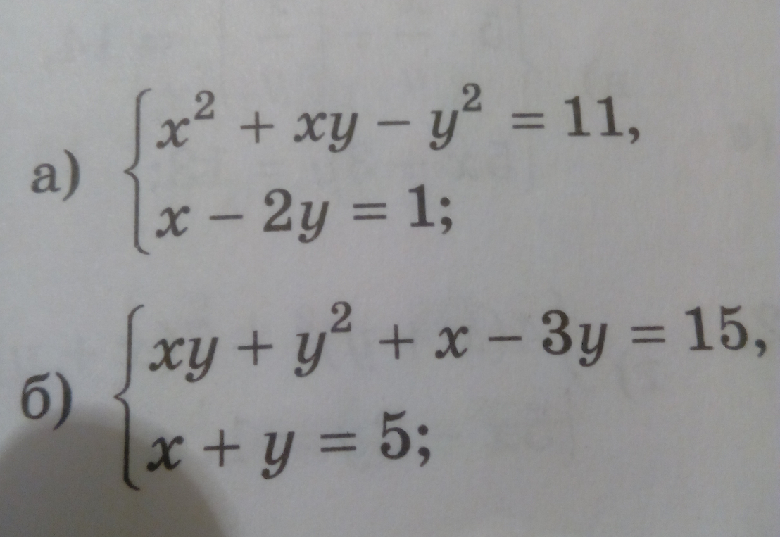
X^2 + xy - y^2 = 11
X - 2y = 1
Решение
Х = 2y + 1
( 2y + 1 )^2 + y( 2y + 1 ) - y^2 = 11
4y^2 + 4y + 1 + 2y^2 + y - y^2 = 11
5y^2 + 5y - 10 = 0
5( y^2 + y - 2 ) = 0
D = 1 + 8 = 9 = 3^2
y1 = ( - 1 + 3 ) : 2 = 1
y2 = ( - 1 - 3 ) : 2 = - 2
X1 = 2•1 + 1 = 3
X2 = 2•( - 2 ) + 1 = - 3
Ответ ( 3 ; 1 ) , ( - 3 ; - 2 )
•••••••••••••••••••
xy + y^2 + x - 3y = 15
X + y = 5
Решение
Х = 5 - y
y( 5 - y ) + y^2 + ( 5 - y ) - 3y = 15
5y - y^2 + y^2 + 5 - y - 3y = 15
4y + 5 - 3y = 15
y = 10
X = 5 - 10 = - 5
Ответ ( - 5 ; 10 )
X - 2y = 1
Решение
Х = 2y + 1
( 2y + 1 )^2 + y( 2y + 1 ) - y^2 = 11
4y^2 + 4y + 1 + 2y^2 + y - y^2 = 11
5y^2 + 5y - 10 = 0
5( y^2 + y - 2 ) = 0
D = 1 + 8 = 9 = 3^2
y1 = ( - 1 + 3 ) : 2 = 1
y2 = ( - 1 - 3 ) : 2 = - 2
X1 = 2•1 + 1 = 3
X2 = 2•( - 2 ) + 1 = - 3
Ответ ( 3 ; 1 ) , ( - 3 ; - 2 )
•••••••••••••••••••
xy + y^2 + x - 3y = 15
X + y = 5
Решение
Х = 5 - y
y( 5 - y ) + y^2 + ( 5 - y ) - 3y = 15
5y - y^2 + y^2 + 5 - y - 3y = 15
4y + 5 - 3y = 15
y = 10
X = 5 - 10 = - 5
Ответ ( - 5 ; 10 )
Вас заинтересует
2 года назад
7 лет назад
7 лет назад
9 лет назад
9 лет назад
10 лет назад