• Предмет: Алгебра
  • Автор: sunrise228
  • Вопрос задан 9 лет назад

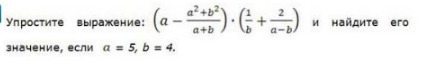
Помогите пожалуйста с ответом

Приложения:

Ответы

Ответ дал: misstutuk
0
если не ошибаюсь , -3. 
Вас заинтересует