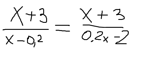
Решите уравнение.Если уравнение имеет более одного корня, то в ответе укажите больший из его корней.
Приложения:
Ответы
Ответ дал:
0
(х+3)(0,2х-2)=(х+3)(х-0,2)
0,2х-2=х-0,2
-0,8х=1,8
х=-2,25
Вас заинтересует
3 года назад
3 года назад
8 лет назад
8 лет назад
11 лет назад
11 лет назад
11 лет назад