Помогите пожалуйста))
Упростите выражение:
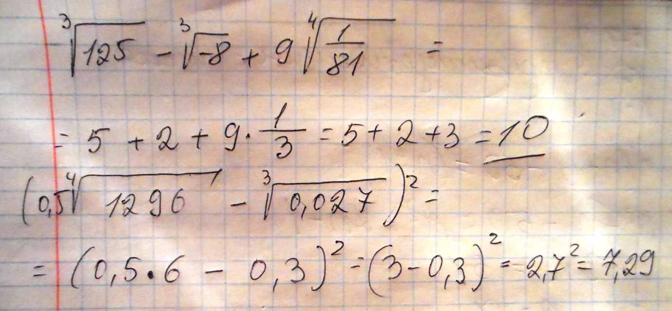
1) ³√125-³√-8+9⁴√1(дробь)81(тоесть одна восемьдесят первая)
2)(0,5⁴√1296-3√0,027)²
Очень прошу
Приложения:
Ответы
Ответ дал:
0
!!!!!!!!!!!!!!!!!!!!!!!!!
Приложения:
Ответ дал:
0
1) 5-2+9*(1/3)=5-2+9/3=3+3=6
ответ:6
ответ:6
Приложения:
Вас заинтересует
2 года назад
2 года назад
7 лет назад
7 лет назад
10 лет назад
10 лет назад
10 лет назад