Ответы
Ответ дал:
0
Первое
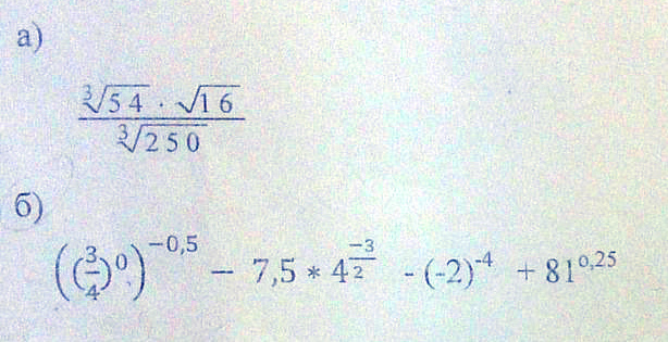
∛27*2-√16/ ∛250 = 3∛2-4 / 5∛2 = 3*4/5 = 12/5 = 2,4
∛27*2-√16/ ∛250 = 3∛2-4 / 5∛2 = 3*4/5 = 12/5 = 2,4
Ответ дал:
0
РЕШЕНИЕ СМОТРИ НА ФОТОГРАФИИ
Приложения:

Вас заинтересует
2 года назад
2 года назад
7 лет назад
9 лет назад
9 лет назад
10 лет назад