• Предмет: Алгебра
  • Автор: stefa91
  • Вопрос задан 9 лет назад

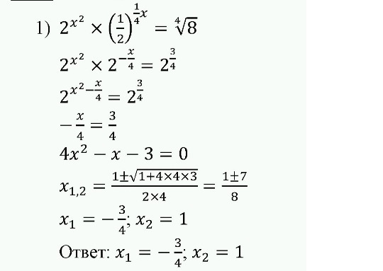
Объясните,пожалуйста, почему во второй строчке, где второй множитель, получается 2 в -х/4 степени ?

Приложения:

Ответы

Ответ дал: MAXIS95
0
Потому что 1/2 это то же самое что и 2^(-1). При возведении степени в степень показатели перемножаются
Вас заинтересует