• Предмет: Математика
  • Автор: Добрыйчеловек4625
  • Вопрос задан 9 лет назад

Помогите плиз нужно срочно

Приложения:

Ответы

Ответ дал: Аньча
0
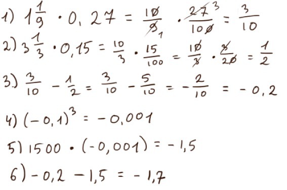
Решение скинула на фотке:
Приложения:
Ответ дал: Добрыйчеловек4625
0
А ты можешь сделать последний номер о на фотке виден заранее спасибо
Ответ дал: Аньча
0
Океюшки)
Ответ дал: Аньча
0
Прикрепила вторую фотографию, обнови страницу
Вас заинтересует