Объясните,пожалуйста,как решать.
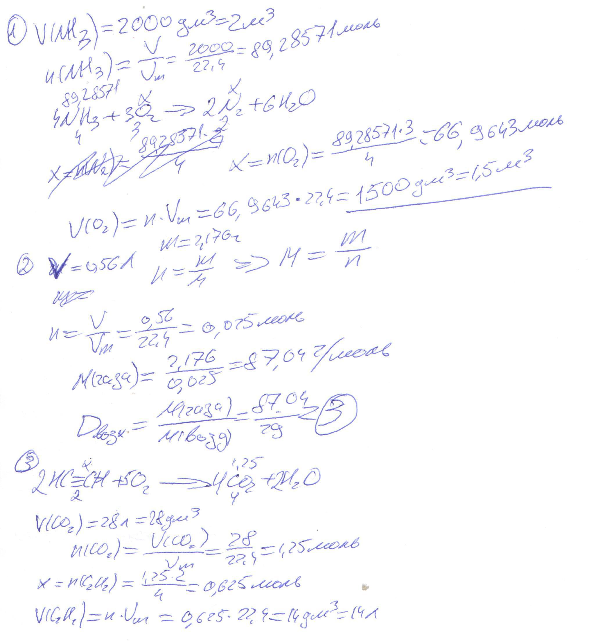
1. Вычислите объем кислорода,необходимый для сжигания 2м^3 аммиака по уравнению : 4NH3 + 3O2 ---> 2N2 + 6H2O
2. Масса 0.56 л газа равна 2.176 г. Определить относительную плотность газа по воздуху
3. Рассчитать,какой объем ацетилена сгорает,если образовалось 28 л CO2
Ответы
Ответ дал:
0
вот, пожалуйста. может, не полные объяснения
Приложения:

Ответ дал:
0
Спасибо огромное.Очень помогли :)
Вас заинтересует
2 года назад
2 года назад
7 лет назад
7 лет назад
9 лет назад
10 лет назад