МНОГО БАЛЛОВ
Не выполняя построения графиков функций y=8/x и y=2x найдите координаты точек их пересечения.
Ответы
Ответ дал:
0
8 / x = 2x
8 = 2x^2
X^2 = 4
X1 = 2
X2 = - 2
y1 = 2•2 = 4
y2 = 2•( - 2 ) = - 4
Ответ ( 2 ; 4 ) ; ( - 2 ; - 4 )
8 = 2x^2
X^2 = 4
X1 = 2
X2 = - 2
y1 = 2•2 = 4
y2 = 2•( - 2 ) = - 4
Ответ ( 2 ; 4 ) ; ( - 2 ; - 4 )
Ответ дал:
0
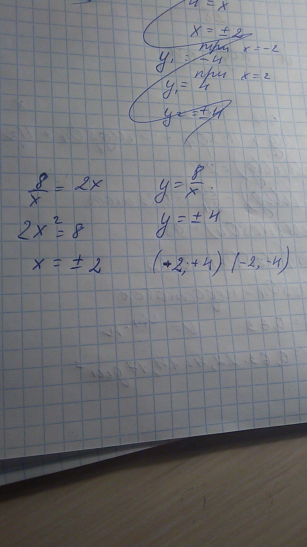
вот как-то так. ответ (+2;+4);(-2;-4)
Приложения:

Вас заинтересует
2 года назад
7 лет назад
9 лет назад
9 лет назад
10 лет назад