Ответы
Ответ дал:
0
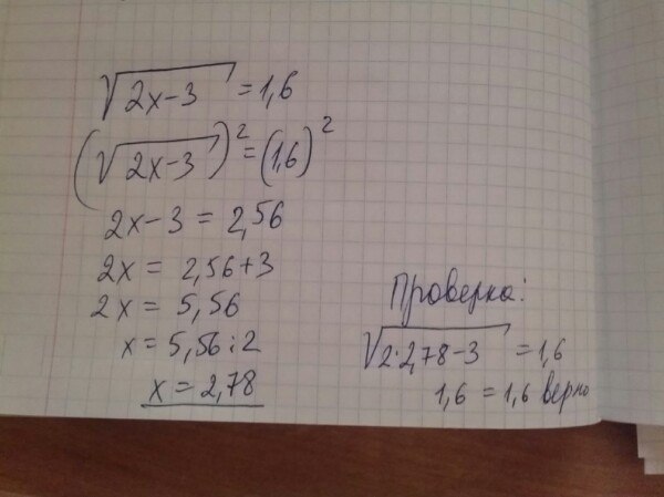
√(2х-3) = 1,6
√(2х-3) ≥0
(√(2x-3))² = 1,6²
2x- 3= 256
2x= 2,56+3
2x=5,56
x=5,56/2
x= 2,78
√(2х-3) ≥0
(√(2x-3))² = 1,6²
2x- 3= 256
2x= 2,56+3
2x=5,56
x=5,56/2
x= 2,78
Ответ дал:
0
Уже исправиЛ)
Ответ дал:
0
мда
Ответ дал:
0
еще раз спасибо большое!
Ответ дал:
0
точнее просто спасибо большое)))
Ответ дал:
0
Извини, запятую не увидел)
Ответ дал:
0
файл........................
Приложения:

Вас заинтересует
2 года назад
7 лет назад
9 лет назад
10 лет назад
10 лет назад