Ответы
Ответ дал:
0
Смотри решение во вложении
Приложения:

Ответ дал:
0
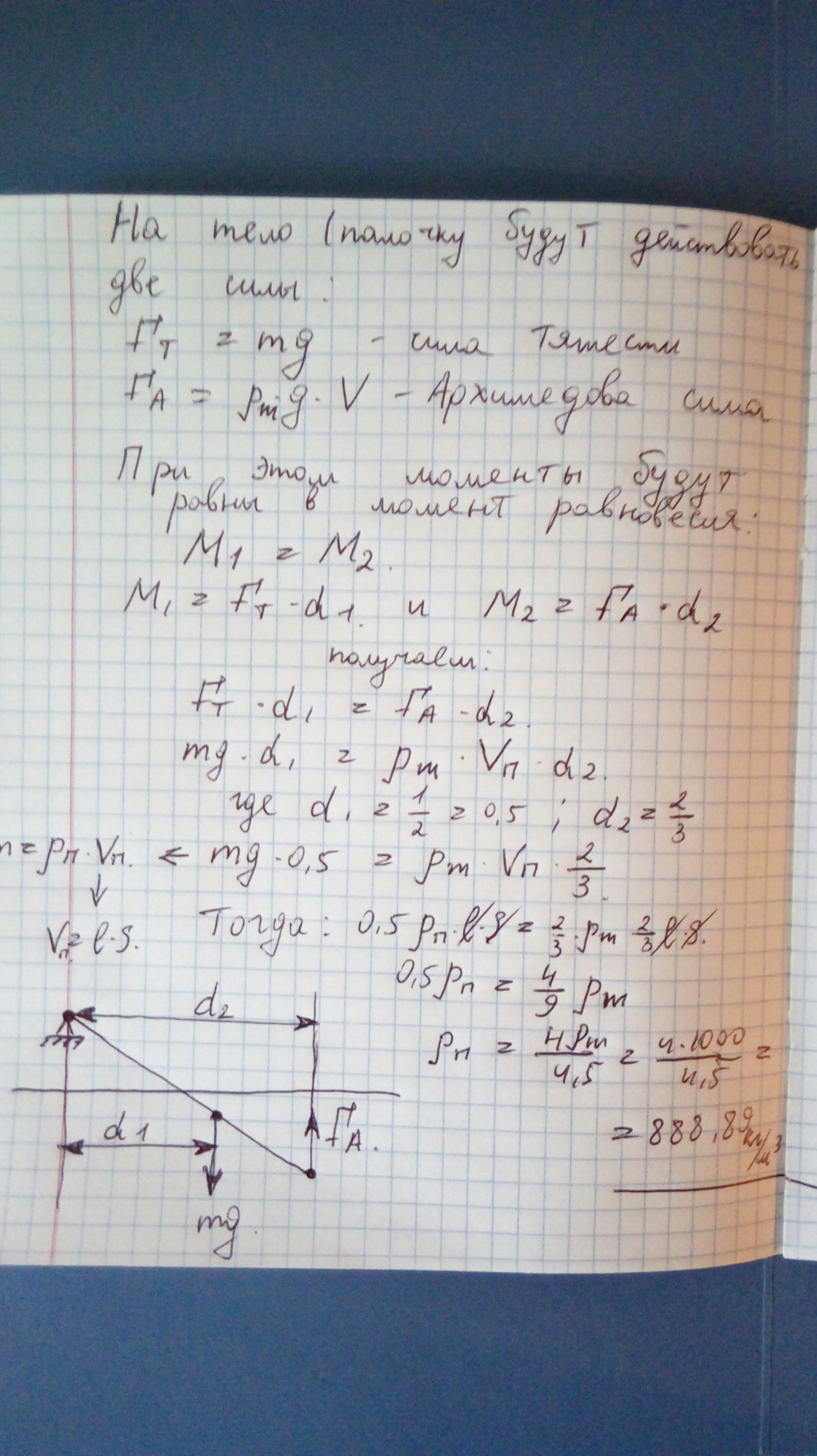
На палочку действуют три силы:
Fарх = (2/3) po g V ; – сила Архимеда, где p – плотность воды,
mg = pgV ; – сила тяжести, где p – плотность палочки,
и N – сила реакции в шарнире.
Поскольку паолчка покоится, то стало быть все силы в сумме, как векторы дают ноль.
Так как Fарх и mg – как векторы строго вертикальны, то и их сумма строго вертикальна.
А для того, чтобы сумма с третьим вектором давала ноль, третий вектор тоже должен быть строго вертикален.
Относительно шарнира система покоится, а значит равны моменты сил Fарх и mg.
Поскольку Fарх приложена по центру погружённой части, т.е. на 2/3 длины палочки от шарнира, а mg приложена по центру всей палочки, т.е. на 1/2 длины от шарнира – то стало быть отношение плечей крутящих моментов составляет 4:3, причём у Fарх – плечо больше. Значит, сама Fарх – меньше
и Fарх:mg = 3:4 ;
(2/3) po g V : (pgV) = 3:4 ;
(2/3) po/p = 9/4 ;
p = (8/9) po ;
p = (8/9) 1000 ≈ 889 кг/м³ .
Fарх = (2/3) po g V ; – сила Архимеда, где p – плотность воды,
mg = pgV ; – сила тяжести, где p – плотность палочки,
и N – сила реакции в шарнире.
Поскольку паолчка покоится, то стало быть все силы в сумме, как векторы дают ноль.
Так как Fарх и mg – как векторы строго вертикальны, то и их сумма строго вертикальна.
А для того, чтобы сумма с третьим вектором давала ноль, третий вектор тоже должен быть строго вертикален.
Относительно шарнира система покоится, а значит равны моменты сил Fарх и mg.
Поскольку Fарх приложена по центру погружённой части, т.е. на 2/3 длины палочки от шарнира, а mg приложена по центру всей палочки, т.е. на 1/2 длины от шарнира – то стало быть отношение плечей крутящих моментов составляет 4:3, причём у Fарх – плечо больше. Значит, сама Fарх – меньше
и Fарх:mg = 3:4 ;
(2/3) po g V : (pgV) = 3:4 ;
(2/3) po/p = 9/4 ;
p = (8/9) po ;
p = (8/9) 1000 ≈ 889 кг/м³ .
Приложения:

Вас заинтересует
2 года назад
2 года назад
7 лет назад
9 лет назад
9 лет назад
10 лет назад
10 лет назад