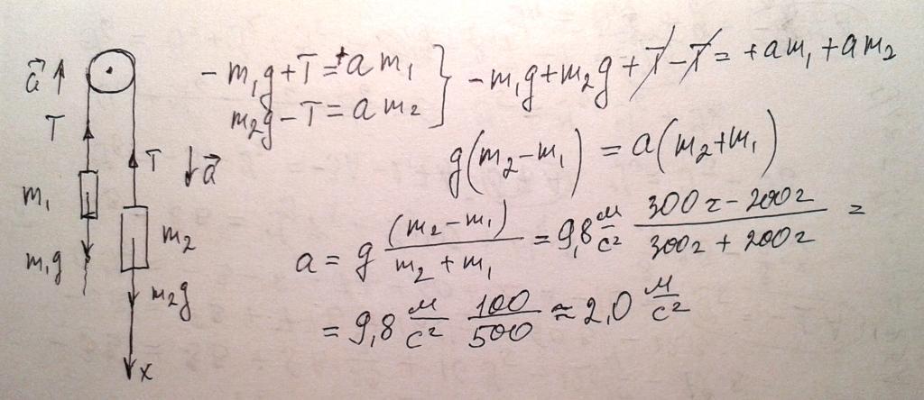
через блок перекинуто нитку до кінців підвісили тіла масами 200 і 300г. З яким прискоренням рухаються тіла?
через блок переброшены нить к концам подвесили тела массами 200 и 300г. С каким ускорением движутся тела?
Ответы
Ответ дал:
0
решение смотри на фотографии
Приложения:

Вас заинтересует
7 лет назад
7 лет назад
9 лет назад
9 лет назад
10 лет назад