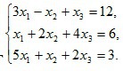
Найти решения системы уравнений а) по формулам Крамера; б) с помощью обратной матрицы (матричным методом). Пожалуйста помогите! Желательно по возможности решите на листке и сфоткайте.
Приложения:
Ответы
Ответ дал:
0
Для начала - методом Крамера.
Сами определители и их расчет в приложении.
А решение методом обратной матрицы - в другом приложении.
Ответ получился одинаковый, но объяснить это словами - очень сложно.
Сами определители и их расчет в приложении.
А решение методом обратной матрицы - в другом приложении.
Ответ получился одинаковый, но объяснить это словами - очень сложно.
Приложения:
Вас заинтересует
3 года назад
7 лет назад
7 лет назад
10 лет назад
10 лет назад