• Предмет: Алгебра
  • Автор: TuJlka
  • Вопрос задан 9 лет назад

Помогите решить пожалуйста:)

Приложения:

Ответы

Ответ дал: yulia2800
0
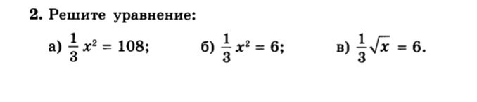
а) 1/3х²=108
х=√(108/(1/3))
х=√(108·3)
х=√324
х1=-18
х2=18
б)аналогично
1/3х²=6
х=√(6·3
х=3√2
в) 1/3√х=6
√х=18
возведем обе части ур-я в ²
х=324
Ответ дал: TuJlka
0
спасибо)
Ответ дал: amin07am
0
Ответ в приложении ^^/[email protected]$^^$#$//
Приложения:
Вас заинтересует