• Предмет: Математика
  • Автор: umida04
  • Вопрос задан 9 лет назад

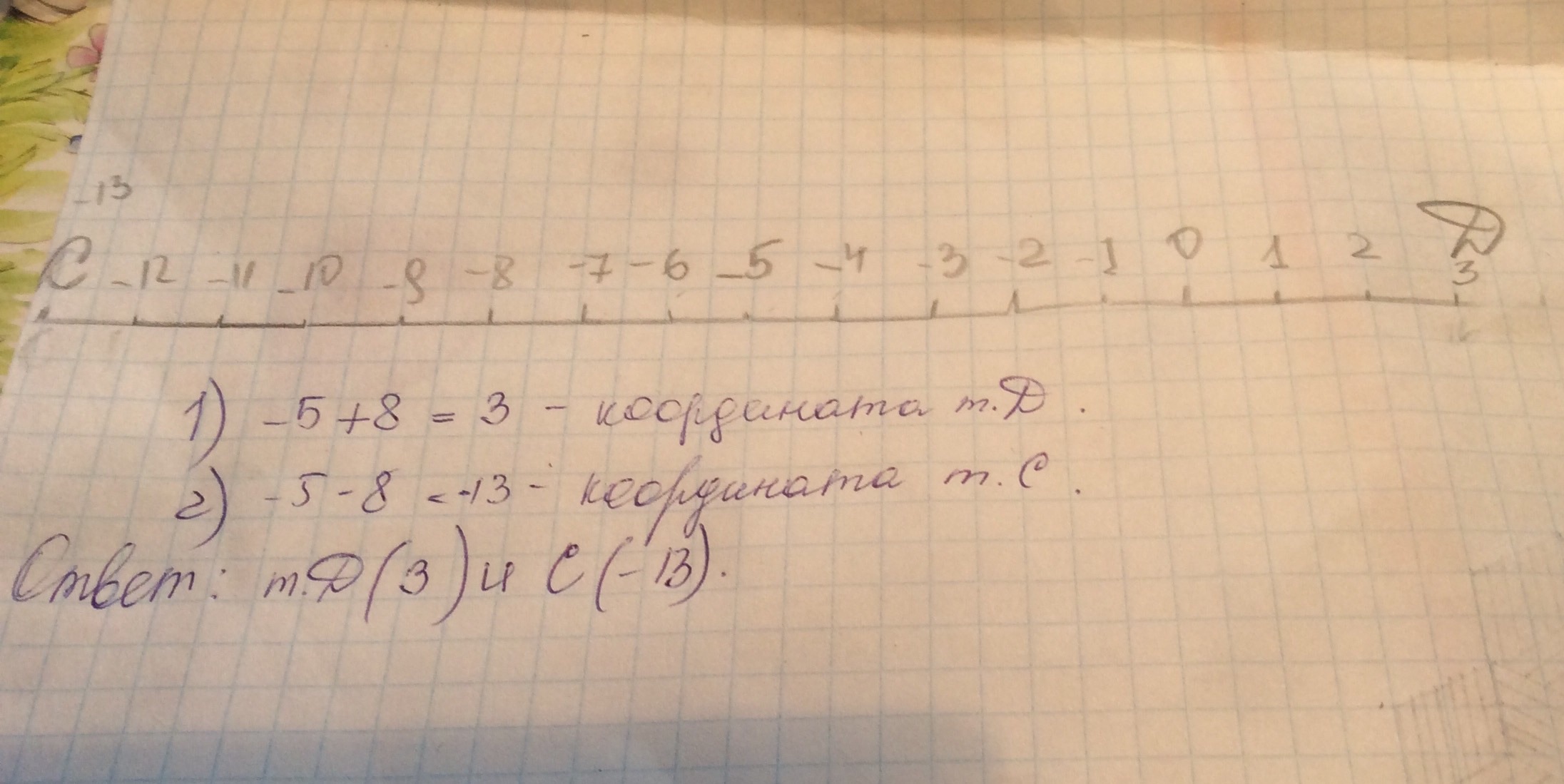
Длина единичного отрезка на координатной прямой равна 1 см. Длина отрезка CD равна 16 см. Середина отрезка изображается точкой с координатой -5. Найдите координаты точек C и D.

Ответы

Ответ дал: elyasupмихайловна
0
1) -5+8=3 — координата т.D 2)-5-8=-13—координата т. С Ответ: т.С (-13); т.Д(3).
Приложения:
Вас заинтересует