• Предмет: Алгебра
  • Автор: Semeshccka
  • Вопрос задан 9 лет назад

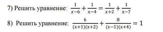
Помогите решить уравнения

Приложения:

Ответы

Ответ дал: злата137
0
в1 347 а во 232это очень легко на колькуляторе посчитать можно
Ответ дал: Semeshccka
0
Откуда вы взяли 347?
Вас заинтересует