• Предмет: Алгебра
  • Автор: Артур998
  • Вопрос задан 9 лет назад

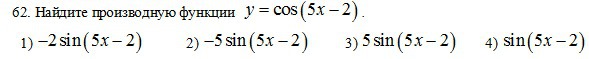
Решите номер 62.Есть вложение.

Приложения:

Ответы

Ответ дал: egel03
0
Хер волосатый ответ)

Вас заинтересует