Ответы
Ответ дал:
0
проверка обязательно
Приложения:

Ответ дал:
0
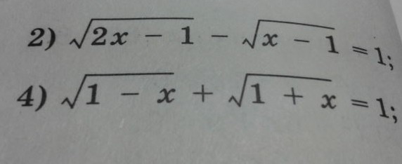
Если вам не сложно решите пожалуйста второе!)
Вас заинтересует
2 года назад
7 лет назад
9 лет назад
9 лет назад