Помогите упростить выражение!! И решите его по действиям!!!Желательно решить на листочке и добавить во вложения!
Приложения:
Ответы
Ответ дал:
0
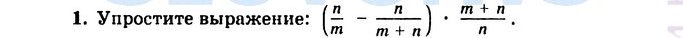
(n/m- n / m+n) m+n/n
((m+n)/m)-1
m+n-m/m=n/m
Вас заинтересует
3 года назад
3 года назад
8 лет назад
8 лет назад
11 лет назад
11 лет назад
11 лет назад