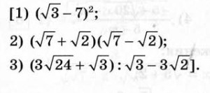
Упростить.Алгебра 8 класс.Правильный ответ отмечу,как лучший и поставлю максимальную оценку.
Приложения:

Ответы
Ответ дал:
0
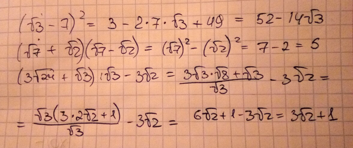
Вот. Вроде всё верно.
Приложения:

Ответ дал:
0
Да,все верно!Большое спасибо!)Как будет можно-отмечу Ваш ответ,как лучший)
Вас заинтересует
2 года назад
2 года назад
7 лет назад
7 лет назад
9 лет назад