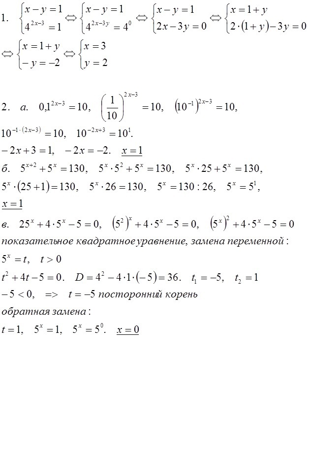
1.Решить систему уравнений:
{x-y=1 4^(2x-3y)=1
2.Решить уравнение:( с проверкой)
а)(0,1)^(2x-3)=10
б)5^(x+2)+5^x=130
в)25 ^x+4∙5^x-5=0
3..Решить графически уравнение:
2^(-x)=3x+10
Ответы
Ответ дал:
0
решение во вложении--------------------
Приложения:
Ответ дал:
0
1.Решить уравнение:
в)9^x+7∙3^x-18=0 а вот его как решать? тоже с проверкой
в)9^x+7∙3^x-18=0 а вот его как решать? тоже с проверкой
Ответ дал:
0
это уравнение показательное квадратное. решать как уравнение 2.в
Ответ дал:
0
Может напишешь?))))
Ответ дал:
0
где задание, куда писать решение?
Ответ дал:
0
Написала
Ответ дал:
0
1
{x-y=1/*2⇒2x-2y=2
{4^(2x-3y)=1⇒2x-3y=0
отнимем
y=2
x-2=1
x=3
Ответ (3;1)
2
a)(0,1)^(2x-3)=(0,1)^-1
2x-3=-1
2x=2
x=1
проверка
(0,1)^-1=10
10=10
б)5^(x+2)+5^x=130
5^x*(25+1)=130
26*5^x=130
5^x=5
x=1
проверка
5³+5=125+5=130
130=130
3
y=2^-x=1/2^x
x -3 -2 -1 0 1
y 8 4 2 1 1/2
y=3x+10
x -2 -1
y 4 7
{x-y=1/*2⇒2x-2y=2
{4^(2x-3y)=1⇒2x-3y=0
отнимем
y=2
x-2=1
x=3
Ответ (3;1)
2
a)(0,1)^(2x-3)=(0,1)^-1
2x-3=-1
2x=2
x=1
проверка
(0,1)^-1=10
10=10
б)5^(x+2)+5^x=130
5^x*(25+1)=130
26*5^x=130
5^x=5
x=1
проверка
5³+5=125+5=130
130=130
3
y=2^-x=1/2^x
x -3 -2 -1 0 1
y 8 4 2 1 1/2
y=3x+10
x -2 -1
y 4 7
Приложения:
Вас заинтересует
3 года назад
3 года назад
7 лет назад
7 лет назад
10 лет назад
10 лет назад
10 лет назад
10 лет назад