Ответы
Ответ дал:
0
Приложения:

Ответ дал:
0
Что?
Ответ дал:
0
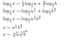
смотри вложение, раз формулы не отражаются
Ответ дал:
0
Как посмотреть вложения ?
Ответ дал:
0
Аа всё спасибо
Вас заинтересует
2 года назад
7 лет назад
7 лет назад
9 лет назад
9 лет назад
10 лет назад