Ответы
Ответ дал:
0
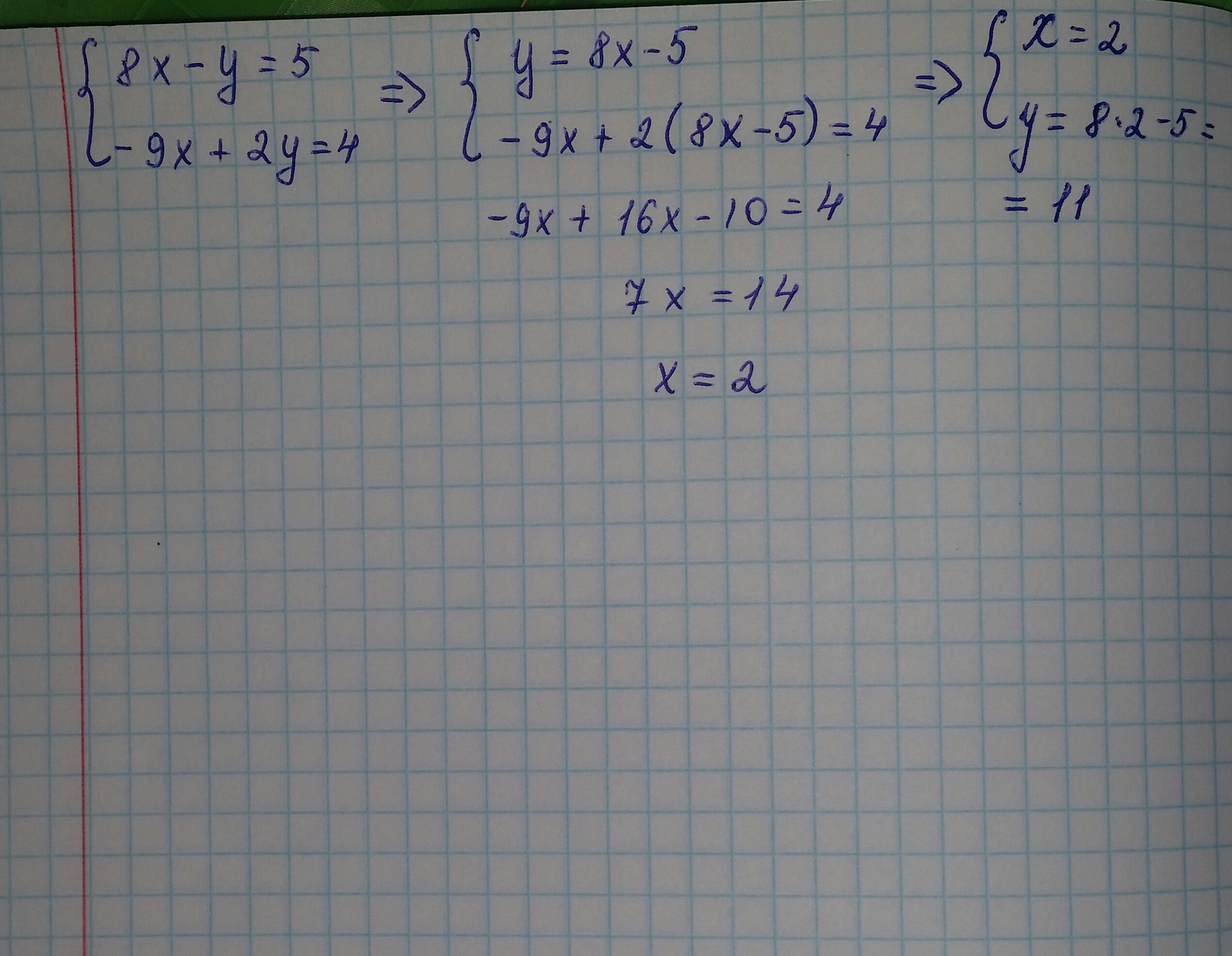
x = 2
y = 11
это решение методом подстановки
y = 11
это решение методом подстановки
Приложения:

Ответ дал:
0
ПЛОХО ВИДНО
Ответ дал:
0
СКИНЬ ЕЩЁ РАЗ
Ответ дал:
0
решила методом подстановки
Приложения:

Ответ дал:
0
плохо видно?
Ответ дал:
0
НЕТ У ТЕБЯ ХОРОШО
Ответ дал:
0
СПАСИБО
Вас заинтересует
2 года назад
7 лет назад
7 лет назад
9 лет назад
9 лет назад
10 лет назад