Решите пожалуйста срочно!!
Докажите что
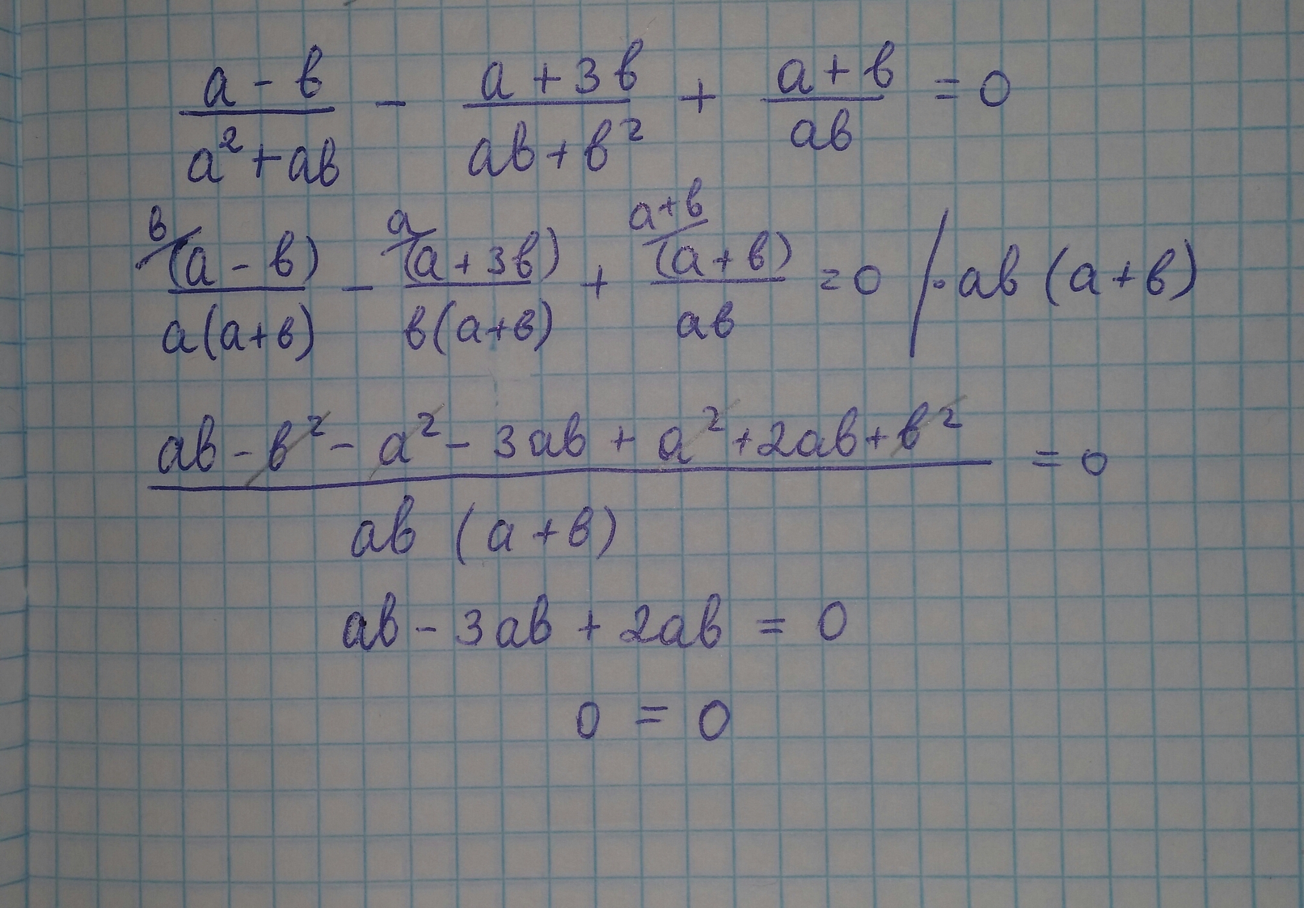
a-b/a^2+ab - a+3b/ab+b^2 + a+b/ab =0
Знак / - это черта дроби то есть a-b/a^2+ab- a-b это числитель а a^2+ab это знаменатель . и другие также
Ответы
Ответ дал:
0
Где непонятно спрашивай
Приложения:

Вас заинтересует
7 лет назад
7 лет назад
9 лет назад
9 лет назад
10 лет назад