Ответы
Ответ дал:
0
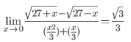
Такое, как вариант может быть..
Приложения:

Ответ дал:
0
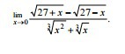
а подробно можешь написать?
Вас заинтересует
7 лет назад
7 лет назад
9 лет назад
10 лет назад