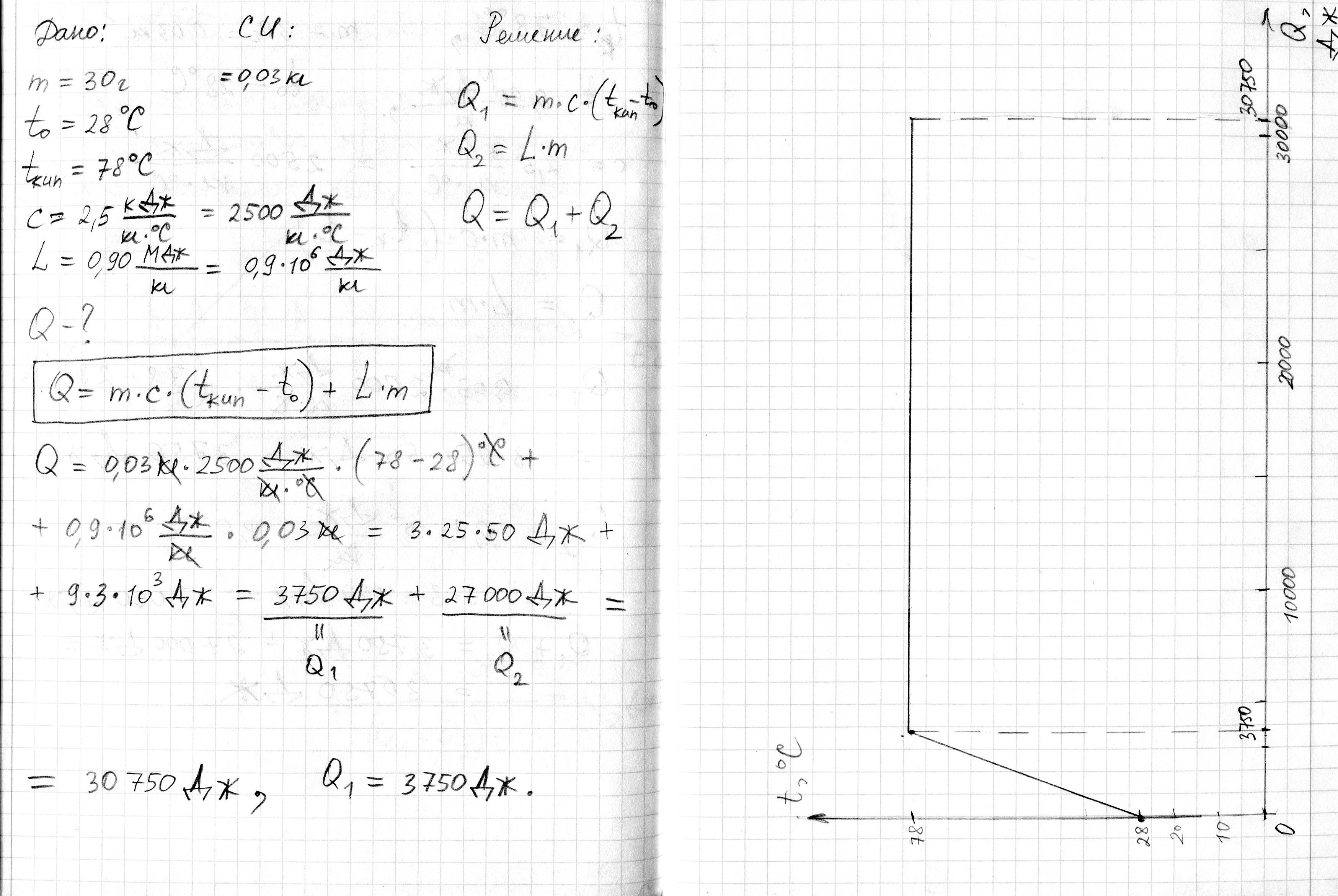
Сколько энергии необходимо затратить , чтобы 30г спирта , взятого при температуре 28, нагреть до кипения и обратить в пар ? Изобразите процессы графически
Ответы
Ответ дал:
0
На листочке решил, прикрепил ======>>
Приложения:

Вас заинтересует
2 года назад
2 года назад
7 лет назад
7 лет назад
9 лет назад
9 лет назад
10 лет назад