• Предмет: Алгебра
  • Автор: catiamincko
  • Вопрос задан 9 лет назад

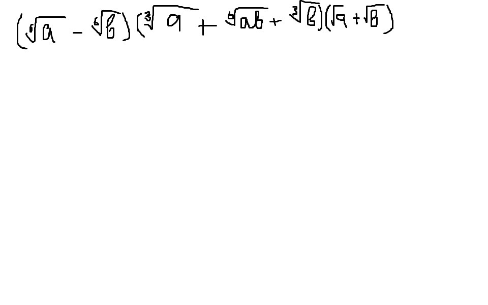
упростите выражение

Приложения:

Ответы

Ответ дал: настяматвей
0
тут что написано аааааааааа

Вас заинтересует