• Предмет: Математика
  • Автор: 0PoMoGiTe0
  • Вопрос задан 9 лет назад

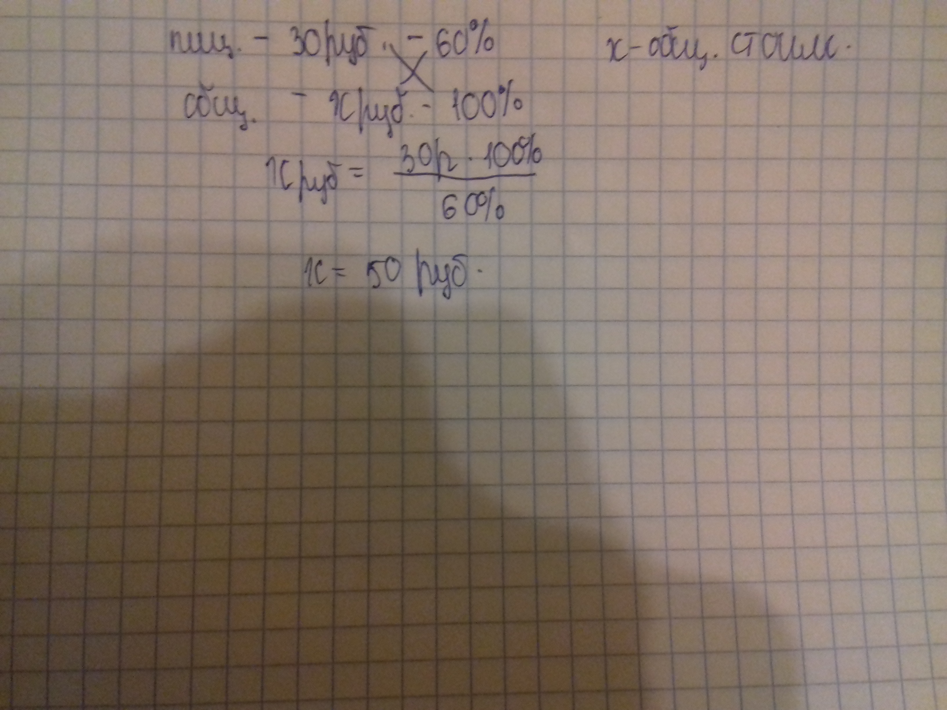
В буфете школьник купил пиццу и стакан сока.Известно,что пицца стоит 30 рублей,что составляет 60% от стоимости всей покупки.Сколько рублей школьник заплатил за пиццу и стакан сока вместе?

Ответы

Ответ дал: AnyNofa
0
я думаю так...........
Приложения:
Вас заинтересует