• Предмет: Алгебра
  • Автор: Евгения142016
  • Вопрос задан 9 лет назад

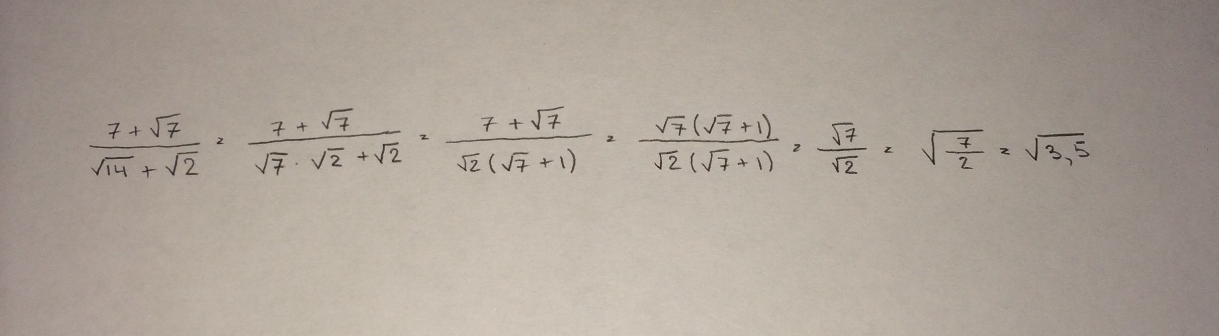
очень срочно!!! нужно сократить дробь

Приложения:

Ответы

Ответ дал: ice61
0
Решение на фотографии,думаю,понятно...
Приложения:
Вас заинтересует