Ответы
Ответ дал:
0
Когда показатели степени складываются это значит что два числа с одинаковыми основаниями перемножаются
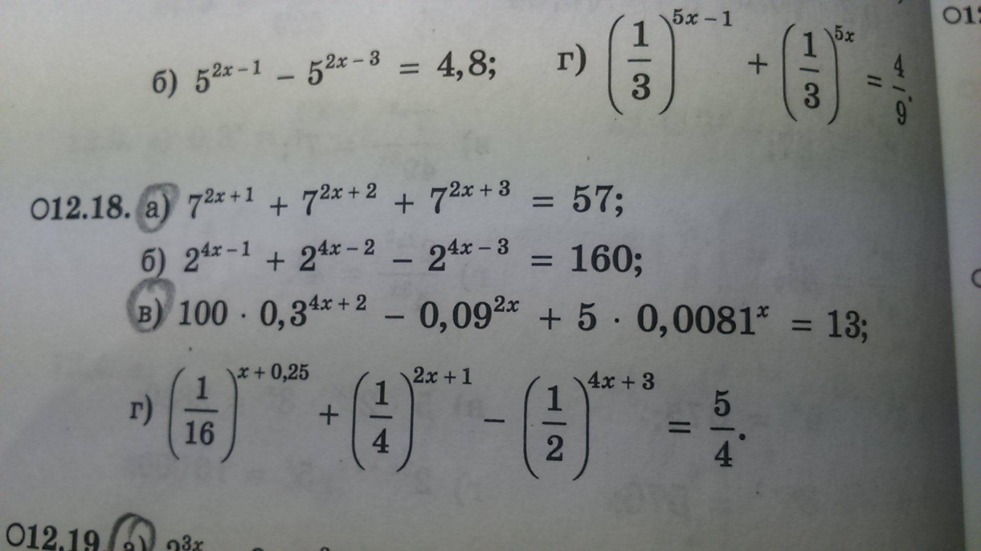
а)7^2x *7+7^2x *7^2+7^2x*7^3=57 а теперь просто выносим общие множители и получаем 7^2x *7 (1+7+49)=57 обе части делим на 57 получаем 7^2x*7=1 т.е 7^2x=1/7 7^2x=7^(-1) 2x=-1 x=-1/2 по тому же принципу делается вторая
а)7^2x *7+7^2x *7^2+7^2x*7^3=57 а теперь просто выносим общие множители и получаем 7^2x *7 (1+7+49)=57 обе части делим на 57 получаем 7^2x*7=1 т.е 7^2x=1/7 7^2x=7^(-1) 2x=-1 x=-1/2 по тому же принципу делается вторая
Приложения:


Ответ дал:
0
ладно
Ответ дал:
0
сделано
Ответ дал:
0
а где скриншот можно посмотреть?
Ответ дал:
0
спасибо большое!
Вас заинтересует
2 года назад
7 лет назад
9 лет назад
10 лет назад