Поиогите..................................................
Решить все номера или ставлю нарушение




Ответы
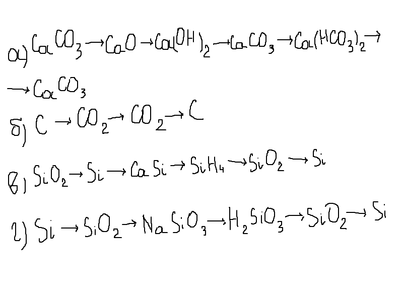
1.а)1) CaCO3 +MgO →CaO + MgCO3
2)CaO +Mg(OH)2 →Ca(OH)2 + MgO
3)Ca(OH)2 +H2CO3 →CaCO3 + 2H2O
4)CaCO3+H2O+CO2 →Ca(HCO3)2
5) Ca(HCO3)2 → CaCO3+H2O+CO2↑
б)1) C + 2CaO →CO2 + 2Ca
2)CO2+C →2CO
3)CO + Ca →C + CaO
в)1) SiO2 +4Na →2Na2O + Si
2)Si+Ca→CaSi
3)CaSi + 2H2 →SiH4 + Ca
4)SiH4 +2MgO →SiO2 + 2MgH2
5)SiO2+2Ca →2CaO + Si
г)1) Si + 2K2O → SiO2 + 4K
2)SiO2 + 2NaOH →Na2SiO3 + H2O
3)Na2SiO3 + 2HCl →H2SiO3 + 2NaCl
4)H2SiO3 →SiO2 + H2O
5) SiO2 +4Na →2Na2O + Si
2.а)1) S +Hg → HgS
2)HgS + O2 → SO2 + Hg
3)SO2+Na2SO4+H2O → Na2SO3+H2SO4
4) Na2SO3+H2SO4 → SO2+Na2SO4+H2O
5)2SO2 + O2 → 2SO3
6)SO3 +H2O → H2SO4
б)1) N2+6Li → 2Li3N
2)2Li3N +3H2 →2NH3 + 6Li
3)2NH3 +O2 →2NO + 3H2
4)2NO +O2 →2NO2
5)2NO2 +H2O →HNO3 + HNO2
3.а)1) Fe +2NaCl →FeCl2 +2Na
2)FeCl2 +2NaOH →Fe(OH)2 +2NaCl
3)4Fe(OH)2 + 2H2O + O2 →4Fe(OH)3
4)2Fe(OH)3 →Fe2O3 + 3H2O
5)Fe2O3 +6Na →3Na2O +2Fe
6)Fe2O3 +6NaCl →3Na2O +2FeCl3
7)FeCl3 +3NaOH →Fe(OH)3 +3NaCl
8)FeCl3 +3Na →3NaCl + Fe
б)1) Cl2 + H2 →2HCl
2)2HCl +Cu →CuCl2 +H2↑
3)CuCl2 +Zn → ZnCl2 +Cu
4) ZnCl2+2Ag →2AgCl +Zn
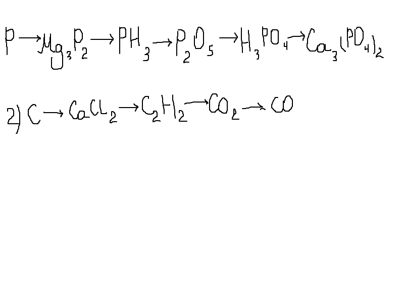
4.а)1) 2P +3Mg →Mg3P2
2)Mg3P2 +3H2 →2PH3 +3Mg
3)2PH3 +4O2 →P2O5 +3H2O
4)P2O5 + 3H2O →2H3PO4
5)2H3PO4 +3CaCl2 →Ca3(PO4)2 +6HCl
б)1) 3С+СаO →CaC2+CO
2)CaC2+2H2O →C2H2+Ca(OH)2
3)2C2H2+5O2 →4CO2+2H2O
4)CO2+C →2CO