• Предмет: Алгебра
  • Автор: alenadali
  • Вопрос задан 9 лет назад

Показательные неравенства.
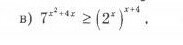
Помогите решить два примера. Хотя больше буду благодарна, если покажите интервалы. Спасибо большое заранее

Приложения:

Ответы

Ответ дал: AnonimusPro
0
тут все просто, раскрываем скобки: 7^(x^2+4x)>=2^(x^2+4x); показатели одинаковые значит берем корень (x^2+4x) из каждого и получаем: 7>=2; не зависит от х, значит х - любое число; Ответ: x принадлежит R
Ответ дал: alenadali
0
Спасибо большое за объяснение, помогли
Вас заинтересует