• Предмет: Математика
  • Автор: isocenko82
  • Вопрос задан 9 лет назад

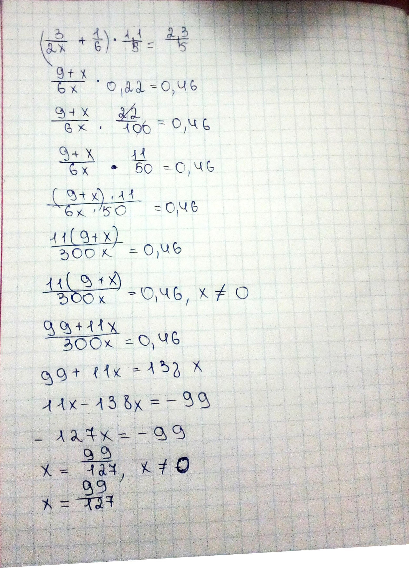
розвяжить ривняння (3/2х+1/6)*1.1/5=2.3/5

Ответы

Ответ дал: Mji99
0
❗❗❗❗❗❗❗❗❗❗❗❗❗❗❗❗❗❗❗❗
Приложения:
Вас заинтересует